干貨分享丨生命元素系列之過渡金屬元素
上文我們介紹了氫、堿和堿土元素在人體內的含量、營養價值、在診斷和治療中的作用,以及它們與生物活性相關的化學特性。這一篇我們就接著介紹過渡金屬元素。
第二部分:過渡金屬元素篇
第3~12組 過渡金屬元素
(a)第一個過渡系列
鈧(Sc,Z = 21)不是必需元素,但其放射性同位素在PET和SPECT成像以及治療中有應用潛力。44Sc (t1/2 = 3.93 h, 94% β+,Emax 1474 keV)和 47Sc (t1/2 = 3.35天,100% β−,Emax 162 keV)顯示出適合診斷的特性。當使用放射性金屬相關的多肽或者其他靶向生物小分子時,44Sc可以用于PET成像。臨床前評估44Sc標記的DOTA功能化生物分子表明其可以有效用于PET成像。44Sc是臨床核成像的有用放射性同位素,在使用177Lu標記的DOTA衍生物給癌癥病人進行治療前可以進行治療前劑量測定。47Sc作為β-發射體具有作為治療性放射性核素的潛力,如果與44Sc結合,就可以使用與44Sc相匹配的具有同樣藥物動力學的放射性藥物。
鈦(Ti, Z = 22)被認為不是必需的,在醫學上最廣為人知的是作為一種質量輕、強度高的金屬用于植入和構成抗癌復合物的成分,其中兩種抗癌復合物已經用于臨床試驗。給予小鼠草酸TiIV補充劑可以減緩體重增加并抑制腫瘤發展。對其他動物的有益效應也有報道,有趣的是,鈦化合物已經獲得專利作為飼料添加劑可以用于家畜增重。鈦(IV)配合物是第一類進入臨床試驗用于治療癌癥的金屬化合物。不朵替坦和二氯二茂鈦在幾種癌細胞中表現出抗腫瘤活性和低毒性。不幸的是,這些化合物的臨床試驗由于其在水中不穩定而終止。此后,為了克服在水中不穩定態,開發了其他的TiIV復合物。其中,新鈦衍生物鈦薩蘭(Ti-salan)配合物很有應用前景。鈦配合物Ti-Salan和Ti-Y在與DNA或白蛋白反應,細胞攝取和細胞內分布都不相同。Ti-salan與生物分子的結合能力相對較低,但是血清依賴性細胞攝取能力較強,而Ti-Y主要與白蛋白和DNA結合。生物分布數據表明,Ti-Y轉運到細胞核與DNA相互作用非常重要,而Ti-salan則靶向線粒體。

圖1. 牛釩類藥物作為胰島素模擬藥
人們對釩(V, Z = 23)的重要性感興趣要追溯到大約35年前,釩酸鹽作為雜質存在于商業馬骨骼肌ATP中,其可以抑制Na+/K+ ATP酶。釩被認為是人類必需的,但它在人體中的作用(大約2.4毫克)知之甚少。釩配合物最近已進入臨床試驗用于治療糖尿病。
在一些生物中,存在基因產物可以結合釩。比如固氮菌Azotobacter中釩固氮酶含有Fe7VS9M集團,其中可以與三個硫酸鹽、一個組氨酸上的氮和兩個高檸檬酸上的氧形成配位。水合的VIII存在于海鞘的釩細胞中,濃度為350 mM。氧化釩(V) H2VO內核在釩酸鹽依賴性的鹵素過氧化物酶中發現,與活性中心的一個組氨酸氮形成配位鍵。這些依賴釩酸鹽的過氧化物酶和釩固氮酶是自然界中目前唯一確定的含釩酶。
在脊椎動物,特別是人類,VIV和VV有可能占主導地位,VV和釩酸鹽以及磷酸鹽之間的相似性可能是其發揮生物學效應的主要原因。釩酸鹽依賴性的鹵素過氧化物酶類似參與磷酸鹽代謝的酶,釩酸鹽可以阻斷蛋白與磷酸鹽的結合。這種競爭性結合可以解釋含釩化合物的胰島素模擬/胰島素增強潛力。釩復合物可用于緩解糖尿病中胰島素不足產生的不良反應。它們不能完全彌補胰島素缺乏(如1型糖尿病),但是可以降低2型糖尿病對外源性胰島素或者其他口服降糖藥的依賴。雙麥芽二醇氧釩(BMOV)和乙基麥芽醇類似物,雙(乙基-麥芽聚糖)氧化釩(IV) (BEOV)的有效性和安全性已經過廣泛的臨床前研究。BEOV已經進入二期臨床試驗。這些釩基胰島素模擬藥的重大發展促使進一步研究釩配合物的生物學應用,特別是在藥物控制癌癥和由病毒、細菌、變形蟲和鞭毛原生動物引發的寄生蟲疾病方面。
20世紀50年代末,鉻(Cr,Z = 24)被認為是一種必需元素。但是目前并沒有可靠的證據表明鉻是必不可少的。人體內沒有已知的天然蛋白含有鉻。對鉻的研究感興趣始于從釀酒酵母提取物中分離出鉻的復合物,其可以增強胰島素控制血糖的功能。然而這種復合物,即所謂的 “葡萄糖耐量因子”被認為含有CrIII、煙酸鹽和谷胱甘肽作為配體,但是從來沒有實驗證明。此外,葡萄糖耐量因子本身隨后被證明并不含有Cr。
人們對鉻可能的治療作用仍感興趣,但它的有益特性仍不確定。盡管Cr的必要性存疑,但是美國食品和藥品管理局(FDA)仍建議成人每天攝入30微克Cr。最近有研究表明Cr對體重和體質組成沒有有益的效應,應該從必需微量元素表中刪除。
CrIII(吡啶甲酸)作為一種礦物質補充劑被廣泛銷售,用于減肥和健身,但是有人擔憂其會造成DNA損傷。CrVI(鉻酸鹽)是已知的基因毒性致癌物。毒性似乎來自細胞內的氧化還原反應產生的CrV 1,2-diolato物質(碳水化合物、糖蛋白和唾液酸衍生物)對DNA造成的氧化損傷。最近一項研究為CrV與各種單糖和模式配體順式-1,2-環戊二醇形成的復合物的核酸酶活性提供了證據。CrV復合物在沒有還原劑或氧化劑存在的情況下也可以導致DNA氧化損傷。
毫無疑問,錳(Mn, Z =25,全身約16毫克)是必需元素,而且與很多含錳的酶參與代謝、生殖、免疫、細胞能力調節和骨骼以及結締組織的生長。Mn2+的化學性質與Mg2+相似,但與后者不同的是Mn2+具有氧化還原性,+3狀態也很容易獲得,比如在線粒體錳超氧化物歧化酶中。人體內最豐富的錳結合蛋白是谷氨酰胺合成酶,在腦化學(星形膠質細胞)中起著重要作用。
然而,體內錳含量過高可能有毒。工業錳毒性是公認的,這是一種神經退行性疾病。錳源于過度暴露和產生活性氧和有毒代謝物以及改變線粒體和ATP功能以及細胞抗氧化防御機制的衰竭。錳轉運基因SLC30A10突變與運動損傷和類似帕金森病的癥狀相關。
一個有趣的問題是錳如何穿過血腦屏障?盡管有幾個研究探討了錳在血腦屏障中的轉運機制,但是錳在血腦屏障中的轉運體還不清楚明確。采用主動轉運或協助擴散的機制以及鈣和鐵金屬轉運蛋白的高親和力已有討論。錳也可能在血腦屏障不完整的區域通過滲漏通道進入大腦。總的來說,很可能不止一個轉運體負責錳在血腦屏障中的轉運,它們中的若干個可能以合作的方式工作,以維持最佳的錳組織內濃度。
人體內約有4.8克鐵(Fe, Z = 26),人類基因組編碼含有超過500個含鐵的蛋白質。在真核生物和原核生物中,非血紅素鐵蛋白的含量相對一致,它們在蛋白質組中的相對數量是從古生菌(約7%)到細菌(約4%)和真核生物(約1%)逐漸降低。有幾種基因負責血紅素合成、血紅素運輸和將血紅素插入血紅素蛋白。從無機化學的角度來看,特別有趣的是存在作為鐵硫蛋白配體的硫化物。H2S本身就是一種眾所周知的有毒物質。鐵- 硫蛋白在細胞中廣泛存在,發揮著電子轉移、催化和鐵調節(IRP蛋白)等多種作用。鐵- 硫蛋白的硫化物是由半胱氨酸脫硫酶催化半胱氨酸生成的。涉及鐵- 硫團簇生物合成的蛋白質突變至少能引起五種人類疾病。鐵硫團簇也參與DNA處理的酶相關聯。
最近討論了鐵的過量或缺乏的影響。硫酸亞鐵是一種新的口服補鐵劑,其使用最廣泛。早在1832年,它就被用于治療貧血。鐵的生物利用度受植物性食物影響,包括植酸(六磷酸肌醇),多酚和單寧。鐵水平升高似乎在神經退行性變中起作用。在治療中,Fe(II)含有二茂鐵衍生物的化合物亞鐵喹,目前正處于II期臨床瘧疾治療的試驗。據信其抗瘧原蟲特性是通過兩種機制:與游離血紅素相互作用和產生活性氧。含二茂鐵和他莫西芬片段的鐵類化合物顯示出作為乳腺癌治療藥物潛力。超順磁氧化鐵組成的納米晶體被用作磁共振成像(MRI)造影劑。硝普鈉,Na2[FeII(CN)5NO],可以緩慢釋放一氧化氮,長期以來一直是治療高血壓的處方藥物。鐵超載和遺傳性地中海貧血一樣可以使用鐵螯合劑治療,如去鐵胺(去鐵惡胺B,可注射)或最近開發的Deferasirox(口服)。

圖2. 注射用鐵螯合劑來去鐵胺,口服鐵螯合劑去鐵斯若和抗瘧藥亞鐵奎因
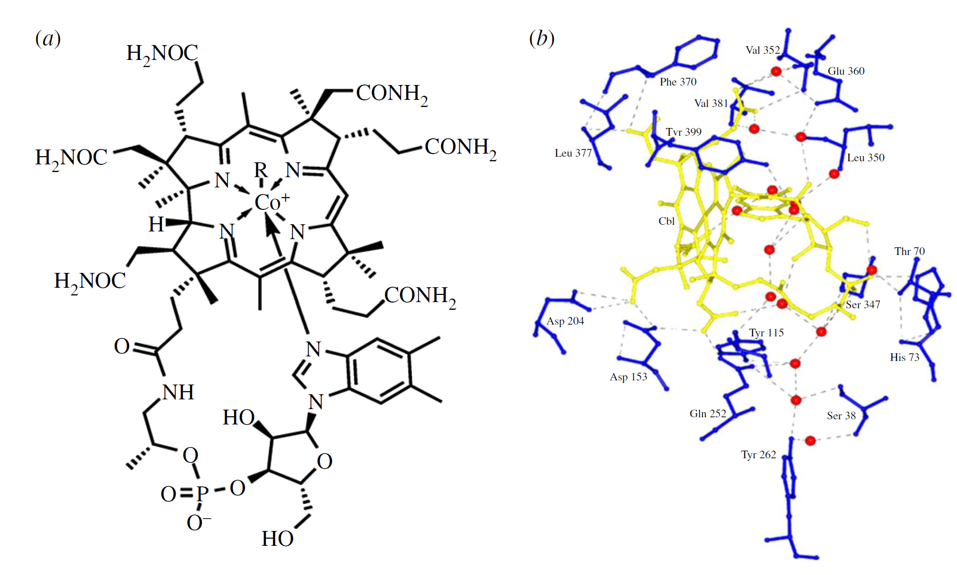
人體內只有約1.6毫克的鈷(Co, Z = 27),但它在輔酶維生素B12(鈷胺素)中起著至關重要的作用,建議每日攝入量為2-3微克。這種維生素缺乏會導致惡性貧血。維生素B12只能由微生物(細菌和古細菌)合成。它含有的鈷緊密結合在一個咕啉環內,氧化態+1,+2和+3對其生物活性非常重要。這是第一個在人體內被識別的有機金屬復合物形成Co - C鍵(到脫氧腺苷和甲基)。

圖3. (a)維生素B12的結構,以CoIII corrin復合物表示 ;(b)周圍環境中鈷胺素(黃色)與內因結合位點,產生糖蛋白并在小腸中吸收維生素B12
我們的基因組編碼消化道中的蛋白質,這些蛋白質可以選擇性地從飲食中吸收B12。一些基因產物,包括參與吸收和分布維生素B12的載體蛋白。細胞進入、運輸或排出維生素改變可導致其缺乏,并最終導致血液和神經系統疾病。在生理情況下,維生素B12與胃內因子結合,并被由一種高度特異性的受體復合體組成的立方蛋白和無羊膜蛋白內化進入回腸。維生素B12從回腸排出后,一般細胞從循環攝取需要轉鈷胺素受體CD320,而腎臟重吸收鈷胺素依賴于巨球蛋白。
也許令人驚訝的是,鈷基藥物很少。Doxovir,也被稱為CTC-96,是一種CoIII雙(2-甲基咪唑)刺衍生物,已完成臨床I期試驗用于治療眼科皰疹性角膜炎和腺病毒結膜炎以及口唇皰疹的臨床II期試驗。我們可以預測CoIII在細胞內被還原為更不穩定的CoII。
人體內約有8毫克的鎳(Ni, Z=28),但目前尚不清楚鎳是否是人類必需的元素。眾所周知,鎳過敏是最常見的過敏之一。鎳當然是某些細菌的基本元素。
對于脊椎動物,沒有已知的依賴鎳的酶。然而,在微生物中幾種鎳依賴酶已被很好地表征。因為我們是共生的,對于微生物(我們體內的微生物細胞比人體細胞多10倍)來說,鎳對我們賴以生存的某些微生物的生存至關重要。然而,鎳也能使一些微生物具有毒性。鎳是人類胃病原體幽門螺桿菌毒力的決定因素,它擁有兩種至關重要的鎳酶 [NiFe]氫化酶和脲酶用于體內定植,其中脲酶每個活性配合物含有24個鎳離子。這兩個轉運鎳的酶毒性很可能成為潛在的治療幽門螺桿菌感染的新靶點,可以防止潰瘍。
金屬過敏也是一種Ni過敏高反應性相關的免疫疾病。大約10%的人患有Ni-接觸性皮炎。CD4+和CD8+ T細胞被認為是鎳超敏反應的主要效應細胞。鎳靈敏度的化學基礎也在不斷完善理解。鎳(II)離子作為半抗原,結合到MHC復合物和肽的表面,改變MHC的結合表面,觸發T細胞的免疫反應。
銅(Cu, Z = 29)是人體內第三豐富的必需過渡金屬,總含量約為80毫克。在真核生物和原核生物中,銅蛋白組的大小接近總蛋白質組的1%。銅參與了重要的生物過程,包括呼吸,血管生成和神經調節。目前研究已很好的闡明了銅酶活性和伴侶的結構基礎。銅蛋白分為1型,2或3型。1型(藍銅位點)在單電子轉移中起作用。2型作為催化中心,直接與底物結合。第三類銅參與氧氣的活化和運輸。Cu內穩態異常被認為在阿爾茨海默氏癥、帕金森癥和運動神經元疾病中起作用,但Scheiber等人指出Cu的全部作用尚未明確。
人體內約有2.6克鋅(Zn, Z = 30), Zn2+幾乎參與了分子和細胞生物學的所有方面。鋅蛋白約占人體蛋白質組的10%,約3000鋅蛋白具有生理功能。鋅在蛋白質以及酶催化結構中起作用。它在蛋白質中的配位化學被廣泛研究。在一些細胞中,鋅可以達到相對較高的小泡濃度 (尤指大腦突觸小泡中的小泡),在那里儲存和經歷受控釋放。隨著鋅的重要性得到認可,Maret強調了需要更多的鋅與生物分子的相互作用的知識來判斷鋅生物化學對人類疾病的診斷、預防和治療的重大影響。

圖4. 鋅在調控哺乳動物的生物鐘中起著重要作用
所有生物細胞的功能都受到日常和季節變化的影響由于行星繞太陽的軌道旋轉。地球的自轉產生主要的明暗循環,形成了一種內源性的晝夜節律系統,使生物功能同步。周期(PER)蛋白是哺乳動物晝夜節律的重要組成部分,包含小鼠CRY1光解酶同源區域的復合物 (mCRY1)和c端小鼠PER2 (mPER2)片段的晶體結構顯示鋅參與在體內mCRY1-mPER2相互作用的穩定性。
(b)第二和第三個過渡系列
釔(Y, Z = 39)不是必需元素,但放射性核素90Y臨床上用于癌癥治療,半衰期2.7天,是純β-發射體。它可以作為一種強螯合復合物,例如(90Y-DOTA-Phe-Tyr)奧曲肽(SMT487, DOTATOC0Z)靶向生長抑素受體(SSTRs)。86Y,半衰期14.7 h,其中衰變由電子捕獲,可發揮90Y對PET成像治療性90Y藥物的體內生物分布和劑量測定的補充作用。
平均(80公斤)每個人含有約4毫克鋯(Zr,Z = 40),但Zr沒有已知的生物功能。我們根據飲食習慣每天攝入約4.2 毫克 。鋯用于生物醫學的應用正在穩步增長,例如牙科植入物,全膝關節和髖關節置換術和中耳聽骨鏈重建手術。就像AlIII, ZrIV易形成聚合氧橋配合物(如Zr–O(H)–Zr橋),在止汗劑中用于包裹皮膚和防止(細菌)體味的逸出。一個例子是甘氨酸、氯、羥基物質是鋁鋯四氯羥基(作為由化妝品成分國際命名法命名)。
鈮(Nb, Z = 41)不是必需的,尚未在治療中廣泛探索。金屬氧含有NbV的抗病毒藥物,如異多鈮酸酯[SiW9Nb3O40] 7 -。
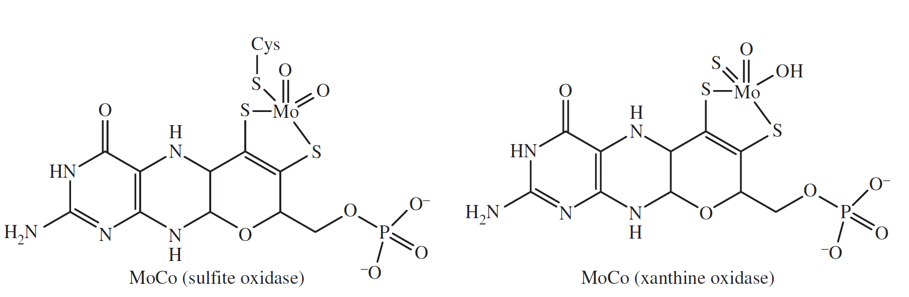
鉬(Mo, Z = 42)是第二和第三過渡系列中唯一必需的微量元素。體內含量最高的部位是腎臟、肝臟和小腸,此外還有腎上腺素。鉬被細胞吸收的唯一已知化學形式是氧陰離子鉬酸鹽[MoVIO4] 2−。人類基因組編碼四種Mo酶在黃嘌呤氧化還原酶和亞硫酸鹽氧化酶家族,其中鉬通過一種特殊的活性位點結合鉬輔因子(鉬多銅素,MoCo)。

圖5. 黃嘌呤氧化酶和亞硫酸鹽氧化酶中輔助因子MoCo的結構
已知MoCo輔因子缺乏癥是由基因突變引起的,可導致快速神經退化。在這些鉬酶中,用水作為氧原子供體或受體進行氧與底物之間的轉移是由Mo催化。MoIV和MoVI兩種氧化態之間相互轉換。MoCo是用一種經多步生物合成途徑高度守恒的方法合成的。如果這種生物合成缺乏,這四種Mo酶活性喪失在人體內都可發生,并在大多數情況下伴隨幼兒期死亡。
據報道,鉬酸鹽[MoO4]2−在實驗性糖尿病大鼠中可防止脂質氧化并保護抗氧化系統,因此可能有助于治療糖尿病。四硫鉬酸鹽[MoS4]2-在醫學上是一種感興趣的銅螯合劑,不僅因為它能降低銅含量,還因為其用于治療乳腺癌和食管癌已在第二階段的臨床試驗中。
锝(Tc, Z = 43)是人造的,可以追溯到1937年。亞穩態放射性同位素99mTc, γ-發射的半衰期為6 h,每年用來計算數千萬個單光子發射量的斷層掃描(SPECT)診斷。它很容易從壽命較長的同位素99Mo在床邊產生。目前有50多種99mTc放射性藥物用于身體各個部位的成像和功能研究,包括骨骼、大腦、甲狀腺、肺、心肌和肝臟。配合物配體在藥物的靶向性方面起著至關重要的作用,例如骨骼的磷酸鹽和磷酸鹽配合物。通過當前的例子,Cardiolite (99mTc-sestamibi)和Neurite (99mTc-disicate)已被批準用于葉酸受體陽性腫瘤。99mTc-MIP-1404正在進行前列腺癌臨床II期試驗。
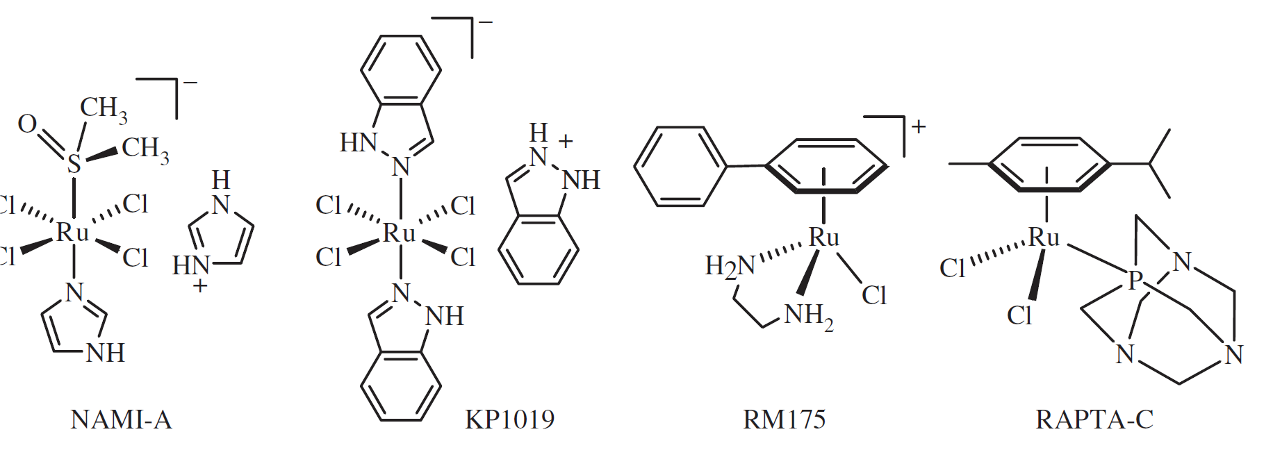
兩種釕(Ru, Z = 44)配合物正在作為抗癌藥物進行臨床試驗。它們都是八面體Ru(III)配合物。吲哚唑配合物KP1019,反式[RuCl4(In)2]InH (商業臨床開發的鈉鹽如NKP-1339和IT-139)對原發腫瘤細胞的細胞毒性比咪唑復合物反式[RuCl4(Im)(DMSO)]ImH大,NAMI(新型抗腫瘤轉移抑制劑)A,對抑制轉移有活性,這兩個已完成I期臨床試驗。來自這些配合物的釕(III)可能是通過FeIII血清轉鐵蛋白傳遞到腫瘤細胞,其受體在癌細胞上過度表達。一旦進入細胞,RuIII可以通過還原成RuII而被激活。KP1019在線粒體通路誘導細胞凋亡。有機金屬RuII芳烴配合物也很有前景,其具有抗癌活性。RuIII EDTA復合物已被作為為NO清除劑用于感染性休克治療的研究。

圖6. 一些RuIII和RuII抗癌復合物。NAMI-A和KP1019(如鈉鹽NKP-1339和IT-139)都在進行臨床試驗
稀有貴金屬銠(Rh, Z = 45)配合物是目前一些抗腫瘤、抗寄生蟲和抗病毒藥物研究的重點。放射性核素105Rh (半衰期35.4 h)在醫學上有用。例如,105Rh是一種有前途的治療藥物,用于治療骨轉移引起的疼痛,表現出快速的血液清除和選擇性骨攝取。
到目前為止,鈀(Pd, Z = 46)在醫學上的用途有限。Pd-bacteriopheophorbide(TOOKAD)是一種光激活化合物,目前正在進行III期臨床評估其對局限性前列腺癌的治療和小腎腫瘤治療的I/II期臨床試驗。它可以被長波長的光(763 nm)深組織穿透并從血流中迅速清除。
放射性核素103Pd(半衰期17天,電子捕獲衰變)1989年被引入近距離放射治療。一項歷時11年的研究發現,與125I的使用行比較,利用103Pd治療斑塊脈絡膜黑素瘤的放射治療結果改善了視覺功能。目前,103Pd正處于治療早期前列腺癌癥的III期臨床試驗階段。
銀(Ag, Z = 47)在日常生活中以其強大的抗菌性能而聞名。追溯到很久以前,18世紀銀被用于傷口處理。19世紀,銀以硝酸鹽的形式被用于治療潰瘍,銀離子被鑒定為抗菌劑。20世紀20年代,膠體銀被FDA批準用于傷口處理。1968年,硝酸銀與磺胺類抗生素結合生產磺胺嘧啶銀,一種用于燒傷治療的局部抗菌劑。由于耐藥細菌的出現和增加,含銀的傷口敷料常被用來代替處方抗生素。銀釋放敷料是否能預防下肢疾病的血運重建傷口并發癥的IV期臨床試驗正在進行。銀納米顆粒也被評估為抗病毒藥物和用于藥物輸送。
人體內有鎘(Cd, Z = 48)(約56毫克),雖然它在非常低的劑量可能是必需的,但它通常被認為是有毒的。鎘(II)有一個高親和力的硫配體,例如在蛋白質金屬硫蛋白,它可以取代天然來自Zn(Cys)4個位點的Zn2+,這可能與Cd的細胞毒性有關。有趣的是,海洋硅藻T. weissflogii中依賴鎘的碳酸酐酶,當只有低濃度的鋅可用時,使用Cd作為天然金屬輔因子。
鉿(Hf, Z = 72)沒有已知的生物學作用。在50 nm直徑的球體氧化鉿功能化的負表面(NBTXR3)非常有趣。NBTXR3納米顆粒可被腫瘤細胞有效吸收,并可增強放射治療的效果。他們在晚期軟組織肉瘤和頭頸部癌的I期臨床開發中。
鉭(Ta, Z = 73)以其惰性和硬度而聞名于世,是一種常用的骨修復金屬植入物。Ta的多孔性為骨的長入提供了機械連接支架。
鎢(W, Z = 74)不是人類所必需的。它在生物系統中最常遇到在鎢酸[WO4]2-中為WVI。鎢酸鈉具有抗糖尿病的特性。口服[WO4]2-能使幾種1型和2型糖尿病動物血糖正常化。在原代培養的肝細胞中,鎢酸鈉的作用方式類似胰島素,增加糖原的合成和積累,并誘導短暫細胞外信號調節激酶1和2 (ERK1/2)的強烈激活。細菌中的一些氧化還原酶以類似于鉬的方式利用鎢。人們也在研究聚氧鎢酸鹽在其他醫學上的應用,包括抗病毒、抗菌、抗癌和治療阿爾茨海默病。
錸(Re, Z = 75)的放射性同位素,188Re(半衰期16.9 d, β−發射極)和186Re(半衰期3.8天,通過電子俘獲和β衰變−放射),用于治療癌癥。用186Re標記的膠體硫顆粒用于治療類風濕關節炎的滑膜切除術,188Re -1,1-羥乙基二膦酸鹽(188Re-HEDP)用于緩解前列腺癌患者骨痛。188Re P2045目前處于小細胞肺癌及其他晚期神經內分泌癌的治療I/II期臨床試驗。P2045是一種由11個氨基酸組成的生長抑素類似肽,對SSTR具有很高的親和力。SSTR在小細胞肺癌和非小細胞肺癌和許多惡性腫瘤的瘤周血管中均有表達。
貴金屬鋨(Os, Z = 76)目前唯一的醫療用途是水注射劑四氧化鋨(OsO4)用于破壞慢性炎癥關節炎關節中的病變組織。OsO4作為一種超氧化物歧化酶模擬物,催化超氧化物歧化酶的發生,超氧化物是一種主要的炎癥種類。有機鋨芳烴配合物顯示出抗癌藥物的前景。
銥(Ir, Z = 77)作為放射性核素192Ir(半衰期73.8天)在臨床上用于癌癥近距離放射治療。目前正在進行B2期和C期前列腺癌的III期評估以及GAMMA-Iridium-192導管治療冠狀動脈疾病的I/II期試驗。銥(III)復合物可以作為蛋白激酶和蛋白蛋白相互作用的抑制劑,光活性多吡啶基銥配合物是潛在的光動力治療候選者。有機銥(III)環戊二烯配合物有望成為抗癌試劑。有些酶似乎可以在細胞中通過催化NADH和NAD+轉換,由氫化物生成IrIII 。
目前應用最廣泛的癌癥化療藥物是鉑(Pt, Z = 78)復合物,現在占所有治療的50%。最初的藥物是順鉑cis-[PtCl2(NH3)2]起源于20世紀60年代密歇根州立大學的Barnett Rosenberg實驗室,現在已經加入了它的類似物卡鉑順-[Pt(1,1-二羧基環丁烷)(NH3)2]和奧沙利鉑[Pt(1R, 2r -1,2-二氨基環己烷)(草酸)]已經得到了全世界的認可。奈達鉑、洛鉑和七鉑獲批用于日本、中國和韓國。脂鉑,由順鉑和由二蛋酰磷脂酰、大豆磷脂酰膽堿(SPC-3)、膽固醇和膽固醇組成的脂質體甲氧基聚乙二醇-雙硬脂酰磷脂乙醇胺(mPEG2000-DSPE)完成III期臨床試驗。高正電荷的Pt2和Pt3配合物形成了一種有趣的新型強效劑。

圖7. 已獲批準用于臨床的鉑抗癌復合物
人們對目標載體鉑類藥物的納米顆粒配方很感興趣。鉑類藥物的主要細胞靶點是DNA,但人們對蛋白質的作用越來越感興趣,尤其是銅轉運蛋白CTR1。具有低旋d6結構的鉑(IV)配合物是一種有興趣的前藥物,在體內是否可以通過化學方式(如硫醇或抗壞血酸)或光照射來還原到活躍的PtII。含有共價連接的PtIV聚合物綴合物的聚合物納米顆粒在循環過程中是穩定的,通過內吞作用進入靶細胞,并且由細胞內酸性環境觸發快速藥物釋放。
金(Au, Z = 79)在醫學(溫療)上的使用可以追溯到古代,當時中國印度的行醫者用黃金治療包括關節炎在內的許多疾病。羅伯特·科赫氰化金溶液的抗結核特性的發現推動了金化合物在醫學上的現代應用。從20世紀30年代,金(I)配合物包括Na3[Au(S2O3)2] (Sanocrysin)、原硫酸鹽(心肌素)、和原硫葡萄糖(Solganol)已肌肉注射,并在1986年,口服藥物金(三乙基膦)金(I)四乙酰硫葡萄糖(Ridaura)加入這些藥物。原硫酸鹽和原硫葡萄糖是聚合體硫代硫原子橋接Au(I)離子,形成線性S - Au - S配位。黃金的藥物靶點很可能是蛋白質,特別是半胱氨酸硫硫和硒化半胱氨酸中的硒,如線粒體硫氧還蛋白還原酶(TrxR)。
人們有興趣將奧拉諾芬用于其他類型的治療,如抗艾滋病毒,慢性淋巴白血病和鱗狀細胞肺癌。金納米顆粒的潛力(AuNPs)目前正在被探索,許多實例的AuNPs偶聯肽或抗體被研究作為基因調節劑,藥物載體,光熱治療劑顯像劑。近年來,金硫芬被發現對阿米巴痢疾的抑制作用有所增強。
如今,汞(Hg, Z = 80)在治療中的使用正在減少。在早期,Hg作為抗生素用于治療梅毒,是利尿劑,防腐劑,鎮痛藥和瀉藥的有效成分。牙科用汞齊填充物的汞含量按重量計算約為40%。硫柳汞,一種有機汞化合物,具有防腐和抗真菌的特性。它主要用于作為一種抗菌防腐劑在二十世紀中葉的疫苗中預防不良葡萄球菌感染等影響。它沒有降低疫苗的效力。有人擔心硫柳汞可能引發或導致兒童自閉癥,但事實可能并非如此,有待證實。一些不推薦給幼兒的疫苗仍然含有硫柳汞,如白喉和破傷風處方,以及世界衛生組織認為沒有確鑿的證據表明硫柳汞具有毒性。

圖8. 抗菌HgII劑硫柳汞,口服抗關節炎藥物金硫芬和可注射抗關節炎AuI藥物原硫酸鹽(心肌素) 的聚合物結構。
(c) 鑭系元素和錒系元素(第3+組)
鑭(La, Z = 57)以La2CO3 (Fosrenol)的形式在2004年被批準用于治療高磷血癥,一種電解質失衡,導致體內血液磷酸鹽水平升高。因此,在腎功能衰竭的患者中,高磷血癥更為嚴重FGF-23水平升高,繼發性甲狀旁腺功能亢進和進展性血管鈣化增強。Fosrenol作為磷酸鹽粘合劑,通過形成不溶性的磷酸鑭配合物減少磷酸鹽的吸收。體外實驗表明,La3+與磷酸鹽結合pH值為3-7,大約97%的有效磷酸鹽結合在pH值3和5之間。在pH值7的模擬胃液中,La3+的濃度為兩倍磷酸鹽的摩爾濃度時,67%的磷被結合。
有趣的是,在中國鑭、鈰和鐠化合物已被用作飼料已有50多年的歷史。這是有據可查的,少量的這些添加劑會導致豬,牛,羊,雞的體重增加。
鈰(Ce, Z = 58)具有抑菌特性;它以硝酸鈰的形式以pH依賴的方式對細菌具有廣譜抗性。在大腸桿菌中,Ce很容易被吸收進入細胞的細胞質,與哺乳動物細胞相比,有明顯的抑制細胞呼吸、葡萄糖代謝和攝氧量的作用。Ce3+硝酸銀磺胺嘧啶配方(也稱為易燃物)已用于治療燒傷傷口。硝酸鈰被認為對由高分子量(3MDa) 脂質蛋白復合物引起燒傷后免疫抑制有保護作用。
釤(Sm, Z = 62)放射性核素153Sm (β−衰變,半衰期1.9天)是其中比較多的廣泛使用的放射性藥物,如153sm -乙二胺四甲基膦酸酸(153Sm-EDTMP)可穩定成母細胞轉移骨病變患者的疼痛。153Sm-EDTMP在37MBqkg−1體重的劑量下具有良好的耐受性,顯示出對骨骼組織的親和性。靜脈給藥后,約50-60%的這種復合物在給藥后2-3小時內被濃縮到骨中,為報道的尋骨量最高放射性藥物。它在骨骼中有一個小范圍的發射(1.7毫米),因此限制骨髓和鄰近組織暴露于輻射。目前153Sm-EDTMP是處于高危骨肉瘤和乳腺癌轉移治療的II期臨床試驗,對于復發或難治性多發性骨髓瘤和骨痛患者僅用于骨骼以及與唑來膦酸或帕米膦酸鹽聯合的I/II期試驗。
在醫學上使用銪(Eu, Z = 63)的例子很少。它有潛力成為PARACEST磁共振造影劑。順磁性金屬配合物常被用作外源物造影劑減少水質子的弛豫時間,從而增強組織對比磁共振成像。銪(III) DOTA -四酰胺配合物可作為單線態磁共振傳感器氧氣(1O2)。該絡合物與1O2快速反應形成內過氧化物衍生物通過化學交換飽和,導致Eu3+結合的水峰偏移約3 ppm。這對于光動力過程中細胞中單線態氧治療的檢測是有用的。發光Eu3+摻雜的納米多孔二氧化硅納米球與葉酸功能化N-羥基琥珀酰亞胺酯分子被設計用于增強癌癥的細胞成像。
現在每年有數百萬劑量的釓(Gd, Z = 64)被用作造影劑核磁共振成像。釓(III)具有7個未配對電子,電子弛豫時間較慢,有效地放松H2O質子,從而增加MR圖像的對比度。多虧了具有較高的熱力學和動力學穩定性,如[Gd(DTPA)(H2O)]2−(1988年批準臨床使用,名為gadopentetate dimeg mine, Magnevist)和[Gd(DOTA)(H2O)] - (Dotarem),它們可以安全地以克量注射。大的GdIII離子(半徑約1.2 Å)可以容納8個配位原子從螯合配體加一種能與本體水迅速交換的水配體。有人擔心可能會產生副作用特別是由體內Gd(III)的釋放(例如Ca(II)的置換)引起的不太穩定的造影劑。目前,Gd正在進行IV期臨床試驗評估腎功能受損患者的骨潴留。
放射性同位素鈥(Ho, Z = 67)166Ho被用作188Re的替代物,因為它適合內部放射治療的特點。166Ho半衰期為26.8 h,能發射高能量和低能量,容易被伽瑪相機檢測。在韓國殼聚糖與166Ho的功能化被用作癌癥放射性藥物。聚(l -乳酸)微球負載166Ho -乙酰丙酮用于不可切除的肝臟惡性腫瘤患者的動脈內放射栓塞。這些微球已經完成了治療肝轉移的I期試驗并將很快開始不可切除肝轉移的II期試驗。
鐿(Yb, Z = 70)放射性同位素175Yb也表現出有利的衰變特征,半衰期為4.2天,最大β能量480 keV。175Yb標記的聚氨基膦酸酯已被評估用于骨轉移的保守治療。這些復合物具有較高的骨攝取,而在軟組織中攝取極少,以及快速的血液清除率。鐿-169是γ發射器,半衰期長得多,為32天,正被探索作為血管內近距離放射治療的一種潛在療法。
镥(Lu, Z = 71)的177Lu放射性核素,半衰期6.7天,具有放射性可用于治療和SPECT成像。兩種放射標記抗表皮藥生長因子受體(EGFR)抗體已評估其EGFR靶向和放射免疫治療療效。兩者都顯示出良好的腫瘤吸收和顯著延緩腫瘤生長。聯合177Lu-IMP-288肽和抗體的預靶向放射免疫治療能提供比直接標記抗體更高的輻射劑量到腫瘤,目前是在治療小細胞肺癌的臨床I/II期試驗中。
錒(Ac, Z = 89)的放射性同位素225Ac,放射性半衰期為10天,是一種有用的放射性藥物。它的級聯衰變產品包括213Bi用于靶向放射治療。適用于輕微疾病的治療,包括血液病、感染和腔室性癌癥。Lintusumab-Ac225是即將進入I/II期臨床試驗,聯合阿糖胞苷治療老年糖尿病患者未治療的急性髓系白血病(AML)和錒-225標記的人源化抗CD33單克隆抗體HuM195正在完成晚期髓系惡性腫瘤患者的I期試驗。
小結
所以,對于放射性元素,大家沒有必要談虎色變,在生命過程中,放射性元素扮演著惡魔與天使的雙重角色。即可以導致人體正常細胞的死亡或變異,進而導致人體器官的功能障礙,還可能導致腫瘤的發生等,甚至引起基因突變和染色體畸變,使一代甚至幾代受害;同時它還可以用于醫療照射,對檢查和治療人們的某些疾病有著重要作用。
天然輻射存在于我們整個自然界。我們喝的水、呼吸的空氣,里面都含有少量的放射性元素,我們體內也有相當量的放射性元素,給我們帶來從內到外的電離輻射。要完全隔絕這些輻射是不可能也是沒有必要的,只要人體受到的輻射量不超過一定的標準,就可以認為是安全的。



